Early Access
Prefer the old look?
Switch view
Early Access
Dashboard
Online Resources
Support
Store
Create Account
Sign In
Menu
Online Resources
Support
Store
Create Account
Sign In
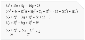
A2_L29-30_LessonTest_10_Student