Test 15 (Lessons 29–30): Ellipses and Hyperbolas Solutions
For problems 1–2, write the equation in standard form.
- An ellipse
center (4, –1)
a = 3, b = 5
- A hyperbola
center (–5, 3)
a = 5, b = 8

- Write and graph the equation of a horizontal ellipse translated 2 spaces down from the center with a domain of and a range of
center (0, –2)
major:
minor:

- Describe how to determine if an ellipse will be horizontal or vertical when only given the equation in standard form.
Sample: The values of a and b determine the major and minor axes. When the ellipse has a horizontal major axis. When the ellipse has a vertical major axis.
- Explain how to find the asymptotes when given the equation of a hyperbola in standard form.
Sample: The center of the hyperbola and the slope are needed to write the equations of the asymptotes in point-slope form. The equation will be:
- Graph.
(–3, 2.5)
b = 4
a = 10

For problems 7–8, name the conic section from the given equation. Explain your reasoning.
Sample: The equation represents a hyperbola because both x and y have squared terms and the values of A and C are non-zero with different signs.
Sample: The equation represents a parabola because , and there is only one term raised to the second power. (Optional: The parabola opens to the right.)
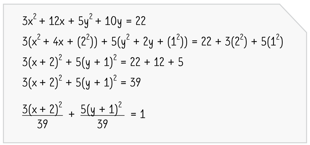
- Write the equation in standard form. Name the type of conic and its center.
This is an ellipse with a center at
- A group of students was told that the equation would result in a hyperbola, but when they solved it, their result was an ellipse. Determine the correct equation and explain your reasoning.
Student work (contains error)

Sample: The group of students did not subtract from both sides. In order to have a hyperbola, and need to have opposite signs.